Foundational development, modeling and configuration of state stabilizing mechanism to maintain axial tension in ball screw feed drive systems
March 2026
Industrial Machinery Technology Development Center; Satoru ARAI
Digital Twin Promotion Office; Yushi TAKENOUCHI
Digital Twin Promotion Office; Shintaro HONDA
Core Technology R&D Center; Shota TANI
Abstract
This study presents a state stabilizing mechanism that can maintain consistent axial tension in the ball screw feed drive systems used within machine tools, even when the screw shaft is elongated due to thermal expansion. The proposed mechanism is structured as an attachable unit for the end of the screw shaft in a feed drive. During a machining cycle, the heat generated from the rotation of bearings within the unit is then used as an intrinsic energy source to expand hydraulic fluid sealed within a pressurized chamber. By minimizing the variation in pressure within the chamber, the mechanism autonomously maintains stable axial tension in the feed drive. After modeling pressure within the chamber and comparing calculated results with trends in actual test data, the proposed mechanism was confirmed to maintain stable axial tension even in the presence of shaft elongation. Results in preliminary tests validate the mechanism as a solution that may be considered during the design stage.
The article below was originally published in an academic journal of the Japan Society of Mechanical Engineers. It has been reproduced here with permission.
Satoru ARAI, Yushi TAKENOUCHI, Shintaro HONDA and Shota TANI, Foundational development, modeling and configuration of state stabilizing mechanism to maintain axial tension in ball screw feed drive systems, Journal of Advanced Mechanical Design, Systems, and Manufacturing, Vol.19, No.1 (2025), pp.1-18. DOI: 10.1299/jamdsm.2025jamdsm0008
1. Introduction
As machine tools are used to remove material in processes such as cutting and grinding, they are designed so that displacement errors from control instructions are minimized by maintaining the relative positional relationship between the tool and workpiece in terms of static and dynamic compliance.
Reducing compliance (the inverse of rigidity) requires that machine designers consider not only the structure of the machine tool and each component, but also the mechanical characteristics of the contact area (Shimizu et al., 2005; Inagaki, 2011). In machine-based processing in particular, compliance is known to be affected significantly by heat generation in structural components and the dynamic behavior of constituent parts. This has led to various theoretical studies and proposals for practical improvements (Weck, 1984; Inasaki, 2004; Arai et al., 2009; Altintas et al., 2011).
This need for improvement extends to the feed drive systems of machine tools as well as thermal and dynamic behavior are crucial factors for improving machining accuracy and overall productivity (Altintas et al., 2011). However, phenomena related to heat generation and flow are difficult to fully model (Mayr et al., 2012), even with the widespread use of computer-aided engineering (CAE) and analysis. Furthermore, there is no standardized way to comprehend these phenomena during the design stage. As a result, responses to heat-related phenomena in different machine tools take the form of ad-hoc trial and error on actual equipment, leading to variations in machine function and the extent of quality deterioration over time.
Figure 1 shows an example ball screw feed drive in a vertical machining center. When such systems are used in machining centers or lathes, the heat generated in the motor, nut, bearings, and other components flows to the machine base, screw shaft, table, guideway, and other structural components. Some heat is also released into the surrounding air. It takes considerable time for such heat flows to stabilize and for the machine tool itself to warm up and operate until thermal deformation saturates and reaches a steady state. Various countermeasures are taken in response, especially in high-precision machining. These include providing a hole in the center of the screw shaft to allow refrigerant to pass through it (Ninomiya and Miyaguchi, 1997), installing a cooling jacket on the nut (Minakuchi et al., 2015), or mounting the machine tool in a temperature-controlled room to stabilize the operating environment (Bryan, 1990). However, additional energy is required to cool machine elements or stabilize operating environments in these ways, and maintaining machining accuracy and quality requirements with these methods may incur significant costs, so their use has been limited to high value-added applications.
Fig.1 Example ball screw feed drive in vertical machining center.
Though the heat generated in ball screw components causes deformation across the feed drive, elongation of the screw shaft is the most important factor to examine, as it has a significant and direct effect on machining accuracy (Yokoyama et al., 2006). In addition to the moving nut, which is a clear source of heat transmission, heat is generated from the bearings supporting the screw shaft. This heat flows into the screw shaft and causes it to expand axially, which significantly affects the positioning accuracy of the ball screw.
Furthermore, this continuous elongation of the screw shaft also changes the mechanical characteristics of the feed drive. Figure 2 shows an example of a bearing support structure on the non-motor side of the screw shaft with pre-tension applied. In this example, pre-tension is applied on the non-motor side equal to the linear expansion of the shaft for 3°C of heat generation (approx. 36 μm/m) and in consideration of the lubrication conditions and dynamic load rating of the DB arrangement within the bearing assembly. If the motor-side bearing on the left end of the screw shaft is configured as a fixed support (the standard structure seen in Fig.1), applying pre-tension on the non-motor side can secure a certain amount of axial rigidity (Ninomiya, 1978).
When the screw shaft expands linearly due to heat generation in this configuration, the non-motor-side bearing will move rightwards in conjunction with the screw shaft. This allows the bearing assembly on the non-motor side to maintain axial rigidity on the screw shaft over a specified range. In other words, the use of a pre-tensioned support structure ensures axial rigidity while accommodating linear expansion of the screw shaft, making for a more thermally robust ball screw, albeit under a limited temperature range.
On the other hand, the screw shaft can expand so much in the direction of the support that pre-tension is no longer effective. If the screw shaft in our example extends too far rightwards, the left end face of the outer ring of the bearing on the left side of the bearing assembly will lose contact with the housing attached to the machine base (this elongation is demonstrated in an exaggerated fashion in Fig.2). Ultimately, the bearing assembly will lose axial tension and become unable to effectively support axial load. A cascade of detrimental effects will follow, starting with lower axial rigidity in the feed drive, which causes a lower resonance point in the servomechanism. This then alters the mutual contact at the machining point between the tool and workpiece, causing vibration and noise, worsening machining quality, and variations in quality. The risk of losing axial support in this way is an established downside of this type of bearing support structure.
Fig.2 Changes in pre-tensioned bearing support structure
on non-motor side under screw shaft elongation.
Responding to the instability caused by such changes over time has long required highly individualized adjustments on the work floor. In practice, on-site staff tasked with the machine tool (i.e. those who work with the equipment daily and are familiar with its quirks) often respond with reactive trial and error—for example, by changing the way coolant is applied to the machining point or by moderating machining conditions (acceleration, speed, tool rotation speed, tool replacement interval settings, etc.) In addition, production engineers familiar with the control system draw upon their knowledge and may adjust the gain of the servomechanism to solve the immediate problem. There is no doubt these quick actions have played a key role in maintaining uptime and manufacturing productivity until now.
However, with shrinking workforces decreasing the number of staff on site and an urgent need to reduce environmental impacts, manufacturers face great pressure to reduce energy consumption and implement advanced forms of automation. Rather than relying on human or environment-specific adjustments, the industry must take drastic measures to prevent equipment instability from occurring from the outset and guard against the impacts of the operating environment.
In response to these issues, we developed a state stabilizing mechanism to maintain axial tension (hereinafter, SSM) in ball screw feed drive systems. With the SSM, stable axial tension is maintained even when the screw shaft is elongated from heat generated by the feed drive, thereby preserving consistent mechanical properties such as axial rigidity. Here, we will outline the structure and function of the SSM and present a model built on and verified by proven test data. This model allows accurate calculation of the pressure generated within the unit that is key to its function and supports a process for determining the specifications of the SSM when designing a ball screw feed drive.
2. Functionality assessment for proposed state stabilizing mechanism to maintain axial tension in ball screw feed drives
2.1 Configuration of proposed mechanism in ball screw feed drive
Figure 3 (a) shows an example equipment configuration where the SSM is mounted to the non-motor end of a screw shaft in a horizontal ball screw feed drive within a machining center, a common machine tool used for cutting. Here, let us assume that the motor side bearing assembly is a fixed support that experiences no axial changes in position.
Figure 3 (b) shows how the proposed mechanism moves when it is mounted as shown in Fig.3 (a) and the screw shaft is elongated due to heat generation. The SSM consists of two major components: a piston and a cylinder. While the cylinder can move axially, it is connected to the piston via a guiding component that prevents rotation relative to the piston. As shown in the example in Fig.3 (b), the piston is fixed to the machine base via a housing, and the cylinder is integrated with the bearing assembly supporting the non-motor side of the screw shaft.
(a) Example configuration and ball screw feed drive in machining center (cross-section)
(b) Movement when screw shaft expands due to heat generation (cross-section)
Fig.3 Configuration and movement of proposed mechanism in machining center.
The joint space between the piston and cylinder is filled with a set amount of hydraulic fluid and a specialized seal structure ensures there are no gaps. We will refer to this area filled with hydraulic fluid as the hydraulic chamber. When the lock nut is tightened on a screw shaft, a compressive force is imposed between the piston and cylinder axially on the hydraulic chamber, generating internal pressure that applies axial tension on the screw shaft along with the non-motor-side bearings.
When performing machining cycles under this setup, the screw shaft expands towards the right due to the heat generated by the screw nut, as shown in Fig.3 (b). When this happens, the cylinder of the SSM also moves in tandem with the screw shaft, and the internal pressure generated by the hydraulic fluid gradually decreases.
At the same time, heat is generated within the bearings supporting the non-motor side due to the rotational motion of the feed drive. The heat is transmitted through the cylinder to the hydraulic chamber, raising the temperature of the hydraulic fluid sealed inside. This thermal process in particular causes the hydraulic fluid to expand significantly, which raises pressure within the chamber and increases axial tension.
If we consider a decrease in hydraulically applied preload and an increase in internal pressure as two opposing phenomena affecting the hydraulic chamber, we can expect the SSM to offset the variances that result and maintain stable axial tension on the screw shaft as long as it properly responds to shaft elongation. However, these phenomena are also affected by the feed drive configuration, machining cycles, installation environment, and other factors, which would require a detailed understanding before deployment. In response, we incorporated a hollow spring element within the hydraulic fluid as shown in Fig.3 (b) to reduce the sensitivity of the hydraulic chamber to fluctuations in internal pressure. The spring element is designed to be relatively flexible in comparison to the hydraulic fluid. It compresses during exaggerated thermal expansion, allowing it to accommodate volumetric expansion of the hydraulic fluid. We expect this configuration to also be effective in reverse, with the spring element mitigating the decrease in pressure when the volume of the hydraulic chamber contracts.
Looking again from a thermal and mechanical perspective, the hydraulic chamber of the unit serves to collect heat generated by the non-motor-side bearings. Thus, the SSM can be thought of as an “energy circulating mechanism” that maintains constant axial tension on the screw shaft.
Figure 4 illustrates this circulation of energy. The heat generated by the bearings provides the SSM with energy to function. The SSM can be seen as a crucial component that facilitates the conversion of energy into work that continuously stabilizes the mechanical properties of the screw shaft support structure. More specifically, the thermal energy generated by the bearings serves to increase the temperature of the hydraulic fluid sealed in the hydraulic chamber and expand its volume. This then serves as the driving force that extends the SSM axially. If the tension generated from the internal pressure in the expanded hydraulic chamber remains close to the initial axial tension acting on the screw shaft, the load on the bearings and generated heat will remain stable, so the heat supplied to the chamber will also remain consistent. In this way, stable heat generation directly contributes to a stable volume of hydraulic fluid in the chamber. If the chamber is designed to continuously maintain this loop, the SSM alone can independently stabilize the mechanical state of the feed drive without the need for any additional source of energy.
In the next section, we will explore a method to practically calculate the tension generated by pressure within the hydraulic chamber using a model we developed to configure the SSM as an “energy circulating mechanism” in ball screw feed drives.
Fig.4 Thermal and mechanical viewpoints of energy circulation
around proposed mechanism.
2.2 Determining tension generated by pressure within hydraulic chamber of proposed mechanism
Figure 5 shows the suggested processes used to derive the tension generated by the pressure within the hydraulic chamber of the SSM.
Several studies on heat generation and screw shaft elongation in ball screw feed drives have been conducted with the aim of modeling associated phenomena (Kakino et al., 1988; Obuchi et al., 1987; Senda and Moriwaki, 2006). However, these studies assumed that parameters related to heat generation and identified in experiments on actual ball screw feed drives could then be substituted into models for analysis of the whole system. Even now, it remains difficult to conduct a generic analysis that could be used in design that encompasses the entire system, including the machine tool configuration, machining cycles, and operating environment.
In contrast, here we propose a unique method that focuses on establishing a process that can continuously stabilize the mechanical properties of the ball screw feed drive by ensuring consistent axial tension on the screw shaft. Rather than attempting to model the entire feed drive system, our scope focuses on the internal pressure within the hydraulic chamber of the SSM as the vehicle for this process that maintains consistent axial tension. In our model, we took the mechanical and physical properties of the hydraulic fluid and hollow spring element sealed within the chamber as inputs, in addition to fluid temperature and volume over time. These were fed into an algorithm to derive the pressure within the chamber and convert this to the tensile force produced by the SSM.
The process for determining the temperature of the hydraulic fluid and subsequent shaft elongation was conceived from the results of preliminary testing of support structures using preloaded bearings that could follow the extension of the screw shaft.
Figure 6 shows the mechanical configuration of the side where shaft elongation was measured during preliminary tests. In our proposed method, the ball screw feed drive is initially configured with the hydraulic chamber of the SSM unpressurized, as exemplified in Fig.6. We conducted a preliminary test where we recorded the normal axial elongation of the screw shaft and the temperature of the hydraulic chamber over time as heat was generated by the bearings and nut on the feed drive during machining cycles. These results for elongation of the screw shaft can be directly used to calculate the pressure within the hydraulic chamber for the algorithm shown in Fig.5. Meanwhile, temperatures were measured at general positions around the chamber and used as substantially equivalent values for the temperature of the hydraulic fluid in our calculations.
The material properties, mechanical properties, and volume of the hydraulic fluid and hollow spring element were also considered in setting the basic specification parameters for the chamber, incorporating these into pressure calculations.
Fig.5 Determining tension from internal pressure within hydraulic chamber
of proposed mechanism.
Fig.6 Mechanical configuration of measured side
in preliminary tests assessing screw shaft elongation.
Subsequent chapters describe the modeling of internal pressure within the hydraulic chamber that forms the basis for stable axial tension using the SSM as proposed in this study, as well as the verification of calculations from the model and the process for assessing SSM specifications in actual ball screw feed drive configurations.
3. Modeling pressure within hydraulic chamber of proposed mechanism and maintenance of generated tensile force
3.1 Modeling internal pressure generated within hydraulic chamber of proposed mechanism
Figure 7 shows an experimental ball screw feed drive with the SSM installed with the specifications listed in Table 1. Machining cycles used on this drive were run with feed motion alone for about four hours—similar to conditions found in die processing including tool changes with an automatic tool changer (ATC). Figure 8 shows the measured changes in pressure within the hydraulic chamber of the unit over time, including after the cycle was paused. We tested two internal specifications for the SSM, with “Condition A” having only hydraulic fluid sealed within the chamber and “Condition B” having both the hydraulic fluid and hollow spring element sealed inside. Pressure within the chamber was measured with a pressure gauge, and displacement of the screw shaft was measured with an electric micrometer in contact with the end of the cylinder from the machine base. In the initial assembly of ball screw feed drives, it is common to apply axial pretension equivalent to 3°C of thermal expansion. Taking this as a reference, our calculations showed that 1.3 MPa of pressure within the chamber generates an equivalent axial pretension. Testing of actual pressure in the hydraulic chamber considering machining cycles revealed that pressure was maintained within the range of 1.0 to 1.5 MPa.
We can see that internal pressure increases from the initial condition (1.1 MPa) over the course of operation under both tested specifications. When only hydraulic fluid was sealed within the chamber, pressure changed significantly, reaching approximately 1.6 times the initial value after 4 hours. This result was likely caused by a significant increase in the temperature of the hydraulic fluid within the chamber. On the other hand, when a hollow spring element was incorporated with the hydraulic fluid, pressure rose slowly to 1.1 times the initial value after 4 hours. We can presume that the hollow spring element suppresses changes in the internal pressure of the chamber caused by rising hydraulic fluid temperature.
Thus, the effectiveness of the hollow spring element must be considered as a crucial function when reviewing the specifications of the proposed mechanism. With these data, we developed a method to calculate the pressure generated in the hydraulic chamber to optimize the design of the SSM.
Fig.7 Setup of experimental ball screw feed drive with proposed mechanism (SSM).
Table 1 Specifications of experimental ball screw feed drive.
Fig.8 Change in pressure within hydraulic chamber of proposed mechanism
in experimental setup.
As mentioned, the interaction of the comparatively flexible hollow spring element with the hydraulic fluid within the SSM is thought to suppress changes in the internal pressure of the hydraulic chamber. In this study, we modeled the hydraulic chamber as two springs in series as shown in Fig.9. Springs 1 and 2 represent the hydraulic fluid and hollow spring element respectively. The piston side of the spring is attached to the machine base, while the cylinder side moves in conjunction with the linear expansion of the screw shaft.
Fig.9 Mechanical model of hydraulic fluid and hollow spring element
in hydraulic chamber.
If the spring constants of spring 1 and spring 2 are k1 and k2 respectively, the spring constant of the model connected in series can be expressed as k.
The bulk modulus of hydraulic fluid is generally said to be about 1500 MPa (Nakagawa and Osumi, 1976). This is much greater than that of air (about 0.1 MPa). Therefore, the spring constant of the entire model k can be controlled and pressure changes inside the SSM can be suppressed with a suitable design for the air-filled hollow spring element.
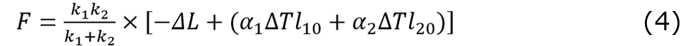
Under a constant temperature, the force produced in the entire model from cylinder displacement ΔL can be expressed as follows:
Furthermore, when the cylinder is fixed and temperature change is ΔT, force F is generated corresponding to the expansion of the two springs in the full model as α1 ∆Tl10+α2 ∆Tl20. Here, α1 and α2 are the coefficients of linear expansion for spring 1 and spring 2, and l10 and l20 are the natural lengths of spring 1 and spring 2 respectively.
Figure 10 shows measured component temperature changes, elongation of the screw shaft, and fluctuations in internal pressure in the hydraulic chamber for the same setup and fluid+spring condition shown in Fig.8. Per Fig.10 (a), the temperature rise for SSM components was slow and rather limited—about 13°C maximum in 4 hours—so the temperatures of the hydraulic fluid and hollow spring element were assumed to be equal.
Using Eq. (2) and (3), force F generated in the model from cylinder displacement ΔL and temperature change ΔT can be expressed as follows:
From Eq. (4), we can see that the effect of temperature change cancels out the effect of displacement from linear expansion of the screw shaft.
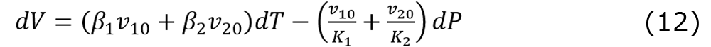
We can take the one-dimensional model of springs in series as previously described and extend it into an expression that represents pressure generated within the three-dimensional hydraulic chamber. As the total volume of the hydraulic chamber V can be expressed as the sum of the volumes v1 and v2 of the hydraulic fluid and hollow spring element respectively, we can describe volumetric change within the chamber as follows:
(a) Component temperature change
(b) Change in internal pressure with elongation of screw shaft
Fig.10 Experimental results for ball screw feed drive with proposed mechanism
(with fluid+spring in chamber).
If we define volume V as a function of pressure and temperature V(T, P), then we may break down volume V into terms to quantify changes as follows:
Therefore, the volumetric change of the entire hydraulic chamber dV is expressed as follows:
Finally, we can rearrange these terms to determine pressure change generated within the hydraulic chamber dP as follows:
Here, V0 represents the initial volume of the hydraulic chamber, as defined by the sums of v10 and v20. The first term in Eq. (13) represents the influence of volumetric change in the hydraulic chamber, while the second term represents the influence of temperature changes within. We determined the bulk modulus of the hydraulic fluid K1 by slowly displacing the cylinder when only hydraulic fluid was present in the chamber and measuring the relationship between pressure and volume. The coefficient of volumetric expansion of the hydraulic fluid β1 was determined to be consistent with the results of machining cycle tests using the SSM with hydraulic fluid alone. Values given to the bulk modulus of the spring element K2 and its coefficient of volumetric expansion β2 were determined by its geometry and material properties. These properties are described in detail in the next section.
3.2 Structure of hollow spring element and physical properties
To calculate pressure changes according to Eq. (13), we must know the bulk modulus and coefficient of volumetric expansion not only of the hydraulic fluid but also the hollow spring element. Since these values are affected by the geometry and material properties of the spring element, sufficient consideration must be given to suit the specifications of the feed drive and operating conditions. In this study, we estimated relevant values using finite element analysis (FEA).
Figure 11 shows an analytical model used to represent the hollow spring element. The spring element is ring-shaped since the ball screw shaft runs through the cylindrical space at the center of the hydraulic chamber in the SSM. The model is axially symmetrical and assumes a resin material with pressure applied to its outer wall, causing deformation (Shimura, 1999). Conditions were set so that the hollow spring element must preserve its durability and sealing function, even when faced with 1.3 MPa of internal pressure within the chamber as required to maintain axial tension equivalent to 3°C of thermal expansion of the screw shaft.
Fig.11 Analytical model of ring-shaped hollow spring element.
Figure 12 shows the deformation of the spring element according to FEA. We can see that the pressure from the surrounding hydraulic fluid causes notable concave deformation of the element’s top and bottom surfaces, reducing the overall volume within.
The bulk modulus K2 of the spring element was estimated based on the relationship between its volumetric strain and the pressure imparted on it by the hydraulic fluid. The geometry and physical properties of the spring element were carefully studied and selected to achieve a linear relation between volumetric strain and the pressure generated within the element. Testing suggests that the temperature of the hydraulic fluid may change by about 13°C during operations. Since the Young’s modulus of the resin material used in the spring element hardly changes over this range, its bulk modulus K2 may be assumed as constant, regardless of temperature. Furthermore, the coefficient of volumetric expansion for the spring element β2 is negligible compared to that for the hydraulic fluid β1, so it can be ignored.
Fig.12 Deformation of ring-shaped hollow spring element per FEA
3.3 Validation of model for pressure within hydraulic chamber
To validate the suitability of our model, we compared the calculated results of Eq. (13) with tested results shown in Fig.8 where the chamber of the SSM contained the hydraulic fluid and hollow spring element. Calculated results and test data for both Condition A (with only hydraulic fluid in the chamber) and Condition B (with the hydraulic fluid and hollow spring element in the chamber) are shown in Fig.13. Calculations for Condition B are based on the coefficient of volumetric expansion β1determined from test data for Condition A. To confirm the validity of the model, test data from actual equipment was used for the elongation of the screw shaft and temperature variation of the hydraulic chamber.
Fig.13 Calculated results and test data for pressure inside hydraulic chamber
of proposed mechanism with fluid only (A) and with fluid + spring (B).
The trend of pressure variation in the calculated results for Condition B was consistent with test results, confirming the validity of the model.
In both Conditions A and B, we can see small periodic waves throughout the overall rise of internal pressure during machining cycles. Testing confirmed that this is caused by fluctuations in internal forces transmitted to the SSM when the table changes direction. In comparing the amplitude of the periodic waves, we found that the amplitude of Condition A is larger than that of Condition B. Since there is no hollow spring element in Condition A, this difference can be considered as a direct result of the internal force variation that was transmitted to the sealed hydraulic fluid in the chamber of the unit via the screw shaft by the motion of the feed drive. Taking a similar perspective in analyzing Condition B, we see that the amplitude of the periodic waves resulting from fluctuations in internal forces is smaller in both calculations and in testing. In other words, when both the hydraulic fluid and hollow spring element are sealed inside, the hydraulic chamber also provides a notable reduction in dynamic variation of internal forces.
4. Assessment of specifications for proposed mechanism when designing ball screw feed drives
After modeling pressure within the hydraulic chamber of the SSM and confirming the model with calculations and proven test data that show its validity, we devised a process to review specifications for the unit when designing the ball screw feed drive configuration. Our method is based on the algorithm shown in Fig.5.
As mentioned, when the SSM is installed on a ball screw feed drive, two inputs are required to calculate the pressure generated within the hydraulic chamber: the momentary elongation of the screw shaft and the temperature change of the hydraulic fluid sealed inside the hydraulic chamber. As shown in Fig.13, measured values obtained from testing were used as the inputs in calculations when the hydraulic fluid and hollow spring element are used in the chamber (Condition B) to verify the calculation algorithm. In an actual specification review, these data need to be estimated in a way that links them to the feed drive structure. Without these, in-depth design work of the hydraulic chamber would likely be impossible. However, it is exceedingly difficult to generalize the necessary data due to the influence of varying feed drive structures, machining cycles, and the operating environment.
Therefore, we conceived the SSM with a structure that allows for practical consideration of its applicability to equipment during the design stage. As mentioned, the SSM continuously responds to elongation of the screw shaft using the heat generated from the bearing assembly. As such, we took care in testing to ensure that bearing preload was not affected by the use of the SSM and left the hydraulic chamber unpressurized in the mechanical configuration shown in Fig.6. With design-stage applicability in mind, we defined machining cycles for this configuration and conducted preliminary testing to obtain data to serve as a base for specifications for the proposed mechanism.
The elongation of the screw shaft during the machining cycle in the preliminary test can be thought of as a thermal deformation mode where the screw shaft expands in a straightforward manner under a mechanically stable state—an ideal response. This means that moment-to-moment data for elongation of the screw shaft obtained from preliminary tests can be used as target values even when a feed drive is equipped with the SSM. Temperatures at positions around the chamber were measured and used as inputs for the temperature of the hydraulic fluid inside the hydraulic chamber. This crucial input data has a significant impact on the accuracy of calculations for pressure generated within the hydraulic chamber of the SSM, and we expect that additional testing data will contribute to improved accuracy in calculations.
Obtained test data is shown in Fig.14. Figure 14 (a) plots measured temperatures for the bearing assembly, hydraulic chamber, machine base, and environment, while Fig.14 (b) plots the elongation of the screw shaft.
Figure 15 shows calculated results using input values based on preliminary testing and compared to actual pressure inside the hydraulic chamber over time. Calculations used the temperature data presented in Fig.14 (a) and screw elongation data shown in Fig.14 (b). When reviewing specifications, designers may determine the amount of hydraulic fluid to be sealed within the chamber and the specifications for the hollow spring element. Ultimately, an optimal design will minimize fluctuations in the pressure generated within the chamber regardless of the machining cycle used.
(a) Component temperature change.
(b) Change in elongation of screw shaft
Fig.14 Data from preliminary testing.
In this study, calculated and tested results showed similar characteristics—of note, the nearly identical trends in the saturation of pressure changes over time and the ratio of the fluctuating component to the initial internal pressure. These trends suggest that a sequential process to calculate pressure within the SSM could produce effective results. Using the elongation of the screw shaft obtained by preliminary tests as a reference value and the temperature of the chamber as a proxy for the temperature of the hydraulic fluid would make this process possible. In other words, our study serves as proof of the possibility to model the pressure generated within the SSM by focusing on the heat generated at the shaft end and the flow of such heat while using the elongation of the screw shaft as a geometric constraint. Using this in calculations allows a practical means to determine the specifications required to maintain stable tension on the screw shaft without the need to estimate the flow of heat across the entire feed drive.
Figure 16 shows shaft elongation for the actual pressure within the hydraulic chamber shown in Fig.15 as compared to the converted equivalent chamber pressure for axial tensile stress in the conventional structure of a ball screw drive with axial pre-tension equivalent to 3°C of screw shaft elongation. These results show that the pre-tensioned feed drive could not tolerate 80 μm of screw shaft elongation and quickly lost axial tension, lasting not even 30 minutes. Meanwhile, the feed drive with the SSM installed could maintain stable axial tension, indicating that performance with the proposed mechanism is better than that of conventional designs with the standard shaft pre-tension of 3°C. This reveals that the mechanical characteristics of the feed drive do not change when the SSM is installed, suggesting that use of the unit could eliminate the need for warm-up operations or shaft cooling to stabilize the thermal conditions of the equipment. In other words, the SSM may enable the realization of a cold start. Therefore, if a feed drive equipped with the SSM is configured with appropriate supplementary functions to ensure positioning accuracy (such as fully closed-loop control with a linear scale), it is possible to continuously and stably deliver high-precision machining without the need to adjust for changes in feed drive functionality over time (Yokoyama et al., 2008; Sakamoto et al., 2019; Sogabe et al., 2020).
Figure 16 also shows that the pressure within the hydraulic chamber is maintained as the screw shaft contracts after the machining cycle completes and operation is stopped. This trend indicates that the mechanism to generate pressure and the proposed model function well not only during linear expansion, but also during contraction of the screw shaft. In other words, the internal pressure model for the hydraulic chamber properly represents the function of the SSM as an “energy circulating mechanism”—its defining feature and strong support for its universal applicability.
Fig.15 Calculated results and test data for pressure within hydraulic chamber
based on preliminary testing.
Fig.16 Relationship between pressure within hydraulic chamber,
elongation of screw shaft and converted equivalent chamber pressure
for axial tensile stress in conventional structure.
5. Conclusion
In ball screw feed drives within machine tools, the elongation of the screw shaft due to heat generation is well-known as a major problem for machining accuracy. Until now, countermeasures have focused on suppressing structural deformation by cooling the shaft or maintaining rigidity by applying pre-tension to the screw shaft, though effectiveness is limited.
However, with an urgent need to respond to shrinking workforces and reduce environmental impacts, current ad-hoc responses to changes in conditions caused by heat generation must be changed. The individualized actions taken by machine operators to cope with changes day-to-day have become roadblocks to full automation, while the environmental impacts of secondary cooling or temperature-controlled operating environments are becoming increasingly unjustifiable. These global concerns require a radical shift in manufacturing.
To respond to these needs from a machine design perspective, we propose that ball screw feed drives can accommodate elongation of the screw shaft caused by heat generation and continually maintain stable axial tension even after the shaft is pre-tensioned if equipped with a state stabilizing mechanism to maintain axial tension (SSM) and reported our findings here. In this paper, we reviewed the basic functions of the SSM and its structure and modeled the internal pressure within the hydraulic chamber of the unit. We verified the maintenance of internal pressure with testing and established the applicability of the SSM when designing specifications for the configuration of an actual feed drive.
Our findings can be summarized as follows:
- The SSM structure comprised of a piston, cylinder, and bearing assembly provides ball screws with continuous and stable axial tension when equipped as a shaft end support, even when the screw shaft is elongated due to heat generation.
- The SSM has a hydraulic chamber filled with hydraulic fluid and a hollow spring element installed in the area between the cylinder and piston. Using heat from the bearings as functional energy, the hydraulic fluid expands with resulting changes in internal pressure regulated by the hollow spring element. This unprecedented mechanism for energy circulation is responsible for maintaining stable axial tension.
- The mechanism for pressure generated within the hydraulic chamber of the SSM is defined by a model in which individual spring models for the hydraulic fluid and hollow spring element are arranged in series. Based on actual test data, the temperatures of the hydraulic fluid and shaft elongation were used as inputs in the proposed model and calculations of changes in internal pressure were confirmed to trend near actual values.
- To clarify specifications required to consider the SSM during the design of the feed drive, we proposed a process based on results from preliminary tests whereby data were obtained on the elongation of the screw shaft and temperature of the hydraulic fluid using a structure on the target feed drive in which the heat generated in the bearing assembly affects the elongation of the screw shaft. Testing showed that preparing input values based on information obtained from this testing allows for a practical and generalized assessment of SSM specifications during design.
- Calculations and test data show the SSM provides stable axial tension in a feed drive even when the screw shaft elongates past the limit of conventional design specifications (pre-tension equivalent to 3°C of elongation to accommodate typical thermal expansion). Pressure in the hydraulic chamber was stable both when the screw shaft was elongated and contracted, indicating that the internal pressure model for the chamber properly demonstrates its function as an “energy circulating mechanism.”
Based on the ability of the proposed mechanism to maintain tensile force as evidenced by this study, we intend to further develop a quantitative theory that can be applied to all systems with long rotating elements by assessing the effects of the SSM on mechanical properties such as rigidity and damping of the ball screw feed drive, the controllability of feed drives equipped with the unit, and the effect of the SSM on machining phenomena.
References
1) Altintas, Y., Verl, A., Brecher, C., Uriarte, L. and Pritschow, G., Machine tool feed drives, CIRP Annals, Vol. 60, No. 2 (2011), pp.779-796. DOI:10.1016/j.cirp.2011.05.010
2) Arai, S., Wilson, S. A., Corbett, J. and Whatmore, R. W., Ultra-precision grinding of PZT ceramics: surface integrity control and tooling design, International Journal of Machine Tools & Manufacture, Vol. 49, No.12-13 (2009), pp.998-1007.
3) Bryan, J., International status of thermal error research, Annals of the CIRP, Vol. 39, No.2 (1990), pp.645-656. DOI:10.1016/S0007-8506(07)63001-7
4) Inagaki, T., Matsubara, A. and Kono, D., Influence of contact stiffness on support stiffness of machine tools, Proceedings of JSPE Semestrial Meeting (2011), pp.413-414 (in Japanese).
5) Inasaki, I., Machining processes in precision engineering, Klocke, F. and Pritschow, G. / Autonome Produktion, Springer (2004), pp.27-37.
6) Kakino, Y., Mori, K., Xia, S., Kimoto, Y., Moriyama, H. and Higashimoto, A., A study of compensation of thermal displacement of the ball screw in NC machine tools, Journal of the Japan Society for Precision Engineering, Vol. 54, No. 9 (1988), pp.1753-1758. DOI:10.2493/jjspe.54.1753 (in Japanese)
7) Mayr, J., Jedrzejewski, J., Uhlmann, E., Donmez, M. A., Knapp, W., Härtig, F., Wendt, K., Moriwaki, T., Shore, P., Schmitt, R., Brecher, C., Würz, T. and Wegener, K., Thermal issues in machine tools, CIRP Annals, Vol. 61, No.2 (2012), pp.771-791. DOI:10.1016/j.cirp.2012.05.008
8) Minakuchi, J., Nagai, Y. and Yamamoto, K., Development of nut cooling ball screw, NSK Technical Journal, No.687 (2015) pp.45-49 (in Japanese).
9) Nakagawa, T. and Osumi, T., On the bulk modulus of hydraulic fluid under entrained air condition, Bulletin of the Faculty of Engineering, Toyama University, Vol. 27 (1976), pp.25-30. DOI:10.15099/00004177 (in Japanese)
10) Ninomiya, M., Friction and temperature rise of ball screws, NSK Bearing Journal, No.637 (1978), pp.9-16 (in Japanese).
11) Ninomiya, M. and Miyaguchi, K., Recent development of ball screws, NSK Technical Journal, No. 664 (1997), pp.1-13 (in Japanese).
12) Obuchi, N., Otsuka, J. and Hoshino, T., Study on thermal expansion of ball screw: calculation of temperature distribution by difference method, Journal of the Japan Society for Precision Engineering, Vol. 53, No. 12 (1987), pp.1899-1904. DOI:10.2493/jjspe.53.1899 (in Japanese)
13) Sakamoto, J., Terashima, S. and Kobayashi T., Development of substrate for thermal displacement correction system, Nagano Prefecture General Industrial Technology Center Research Report, No.14 (2019), pp.E23-E26 (in Japanese).
14) Senda, H. and Moriwaki, T., A study to suppress machining error due to thermal deformation of ball screw of machine tools, Transactions of the JSME, Series C, Vol. 72, No. 717 (2006), pp.1667-1672. DOI:10.1299/kikaic.72.1667 (in Japanese)
15) Shimizu, S., Shiroishi, T. and Sakamoto, H., Treatment of contact stiffness of joint in FEM analysis (2nd report): validity consideration with analysis of non-linear deflection behavior on jointed structure, Proceedings of JSPE Semestrial Meeting (2005), pp.21-22. DOI:10.11522/pscjspe.2005A.0.21.0 (in Japanese)
16) Shimura, Y., Plastic data book, Asahi Kasei Amidas Corporation “Japan Plastics” editorial department co-edit, Kogyo Chosakai (1999) (in Japanese)
17) Sogabe, E., Mizoguchi, Y. and Senda, H., A study of thermal displacement compensation of the ball screw which considering pre-load in machine tools, Proceedings of JSPE Semestrial Meeting (2020), pp.830-831. DOI:10.11522/pscjspe.2020S.0_830 (in Japanese)
18) Weck, M., Handbook of machine tools Vol. 2 / Construction and mathematical analysis (translated from the original German by Bibring, H.), John Wiley & Sons (1984)
19) Yokoyama, K., Kodera, T., Nagai, Y. and Suzuki, T., Selection of measuring position of ball-screw temperature distribution for estimation of thermal elongation, Journal of Japan Society for Design Engineering, Vol.41, No.8 (2006), pp.37-42 (in Japanese).
20) Yokoyama, K., Saito, M., Torinoumi, H., Moriwaki, T. and Aketagawa, M., Improvement of positioning accuracy by real-time compensation of thermal elongation of ball-screw (1st report): principle of the compensation and influence of driving condition, Journal of the Japan Society for Precision Engineering, Vol. 74, No. 9 (2008), pp.931-936. DOI:10.2493/jjspe.74.931 (in Japanese)
refers to the rate of volumetric change with respect to temperature variation under constant pressure conditions.
The volumetric coefficients of expansion for the hydraulic fluid and hollow spring element are β1 and β2 respectively.
Taking the initial volume of the hydraulic fluid and hollow spring element as v10 and v20, volumetric change at constant pressure
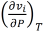
refers to the rate of volumetric change with respect to pressure variation under a constant temperature.
The bulk modulus of the hydraulic fluid and hollow spring element are K1 and K2. Taking initial volume as v10 and v20, volumetric change at constant temperature